Se

By admin , 17 September 2025
Go ontology
Literature evidence
Literature link GPT Summary Evidence category Disease type
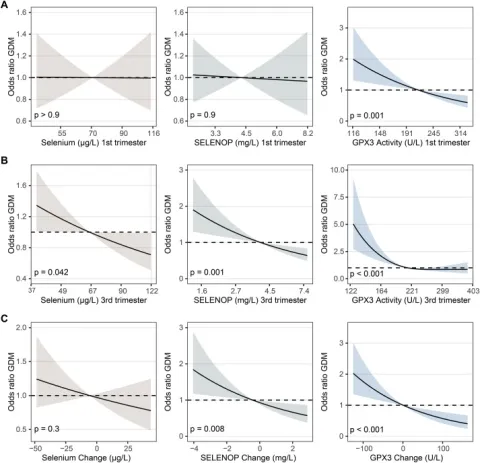
37813341 The study explores the relationship between three biomarkers of selenium status—serum selenium, selenoprotein P, and glutathione peroxidase 3—and the occurrence of gestational diabetes mellitus, glucose metabolism, and the likelihood of having a large-for-gestational-age baby. It found that lower levels of these biomarkers, especially GPX3, are linked with a higher risk of GDM and greater insulin resistance. The research suggests that evaluating selenium status during pregnancy could help identify women at risk for GDM, potentially benefiting from selenium supplementation.
Risk factor
GDM
36918683 This pilot study aimed to assess the potential of predicting GDM risk through the elemental content in fingernails and urine using machine learning. By collecting samples from 67 pregnant women, including both controls and GDM patients, the researchers used inductively coupled plasma-mass spectrometry to measure element concentrations. They found that beryllium, selenium, tin, and copper were positively associated with GDM risk, whereas nickel and mercury were inversely related. An ensemble machine learning model using fingernail Ni, Cu, and Se levels achieved an AUC of 0.81, validating its potential for early GDM prediction. Risk factor GDM
37881350 This cohort study explores the impact of an unbalanced ratio of folate to vitamin B12 in early pregnancy on the risk of developing GDM, considering the influence of serum selenium status. The research found that while overall higher RBC folate/vitamin B12 ratios were not associated with increased GDM risk, women with both high RBC folate/vitamin B12 ratios and selenium deficiency had a significantly higher risk of GDM. These findings highlight the importance of assessing micronutrient status in early pregnancy and addressing deficiencies to potentially reduce GDM risk. Risk factor GDM
32316207 This study investigates the relationship between the levels of selenium (Se), iron (Fe), zinc (Zn), and copper (Cu) during the first trimester of pregnancy and various pregnancy outcomes, such as preterm birth, intrauterine growth restriction (IUGR), gestational hypertension (GH), preeclampsia (PE), and gestational diabetes mellitus (GDM). It draws data from a Polish cohort of 563 healthy pregnant women, finding that increased Se levels decrease the risk of GH and IUGR, while increased Fe levels reduce the risk of PE. Associations were also noted between microelement levels and maternal characteristics like BMI, age, education, and financial status. The findings suggest that these microelements may play a protective role against certain pregnancy complications, highlighting the need for further research into their potential as early predictors of adverse pregnancy outcomes. Mechanism GDM
Other information links
Pubchem
6326970
Relationship with GDM:
Expressing in serum:
↓
RF's name
Se
RF's type
Trace element