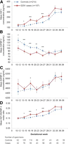
IGF-I to IGFBP-3 ratio

By admin , 17 September 2025
Go ontology
Literature evidence
Other information links
Relationship with GDM:
Expressing in plasma:
↑
RF's name
Insulin-like Growth Factor I/Insulin-like Growth Factor Binding Protein 3
RF's type
protein