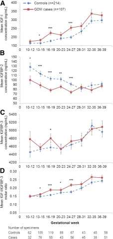
By admin , 17 September 2025 Go ontology Literature evidence Other information links KEGG pathway PI3K-Akt signaling pathway, Cell cycle, Complement and coagulation cascades Relationship with GDM: Figure's link27468747Expressing in plasma: ↓ RF's name Insulin-like Growth Factor Binding Protein 2 RF's type protein