FT3 to FT4 ratio

By admin , 3 November 2025
evidence entity
plasma
↑
serum
↑
expression
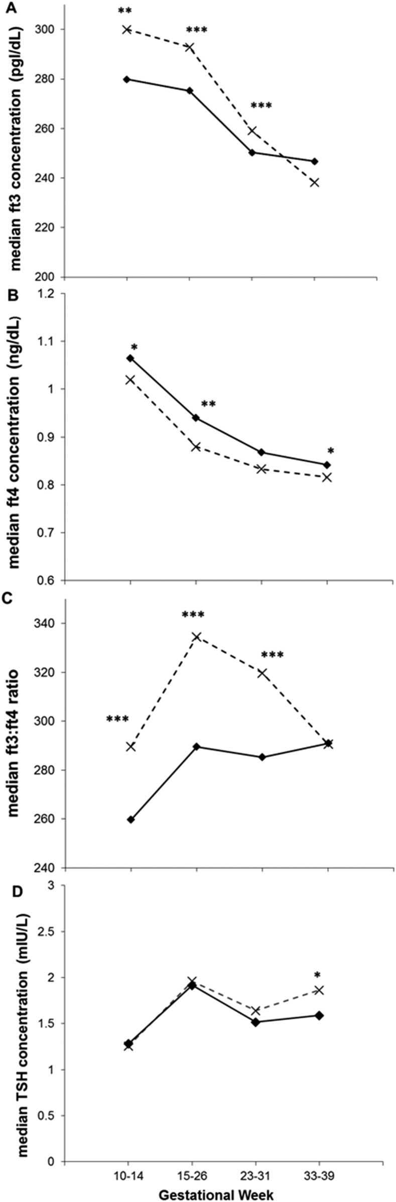
Median plasma concentrations of (A) fT3, (B) fT4, (C) fT3/fT4 ratio, and (D) TSH at each study visit among women with GDM and their matched controls.