FT3 to FT4 ratio

By admin , 17 September 2025
Go ontology
Literature evidence
Literature link GPT Summary Evidence category Disease type
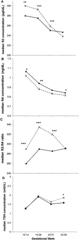
29889229 This case-control study aimed to examine the associations between free triiodothyronine (fT3) levels and the fT3/fT4 ratio with the risk of gestational diabetes mellitus (GDM). Conducted across 12 US clinical centers, the study included 107 GDM cases and 214 non-GDM controls from a multiracial pregnancy cohort. Thyroid markers (fT3, fT4, TSH) were measured at different stages of pregnancy, and the fT3/fT4 ratio was derived. The study found that both fT3 levels and the fT3/fT4 ratio were positively associated with GDM. Specifically, the highest quartile of fT3 was associated with a significantly increased risk of GDM, with adjusted odds ratios (OR) of 4.25 at the first trimester and 3.89 at the second trimester. The risk estimates for the fT3/fT4 ratio were even higher, at 8.63 and 13.60 for the first and second trimesters, respectively. However, neither TSH nor fT4 was significantly associated with GDM. These findings suggest that elevated fT3 levels, possibly resulting from increased conversion of fT4 to fT3, may be an early indicator of GDM risk. Risk factor GDM
34453541 This study explored the prospective associations between thyroid markers in early pregnancy and the risk of gestational diabetes mellitus (GDM), focusing on the potential mediating role of lipid species. The cohort included 6068 pregnant women, with thyroid markers such as free triiodothyronine (fT3), free thyroxine (fT4), thyroid-stimulating hormone, thyroid peroxidase antibody, and thyroglobulin antibody measured before 15 weeks of gestation. The fT3/fT4 ratio was used as a marker of deiodinase activity. Results showed that higher levels of fT4 were associated with a decreased risk of GDM, while a higher fT3/fT4 ratio was linked to an increased risk of GDM. Multiple linear regression revealed that the fT3/fT4 ratio was positively associated with several lipid species, including alkylphosphatidylcholine 36:1 and sphingomyelin 34:1. Mediation analysis suggested that 67.9% of the association between the fT3/fT4 ratio and GDM was mediated by these lipids. The findings indicate that lower fT4 levels or higher fT3/fT4 ratios in early pregnancy may be indicative of increased GDM risk, with lipid species playing a significant mediating role in this association. Risk factor GDM
Other information links
Chemsrc Pubchem
85883-80-3_1597387.html, 3130-96-9_129984.html 5920
Relationship with GDM:
Expressing in plasma:
↑
Expressing in serum:
↑
RF's name
Free Triiodothyronine/Thyroid Hormone
RF's type
Thyroid function indicator